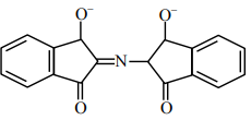
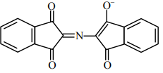
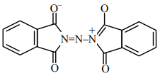
The correct structure of Rhumann's Purple, the compound

Question:

The correct structure of Rhumann's Purple, the compound formed in the reaction of ninhydrin with proteins is :


Correct Option: , 4

Solution:

Leave a comment