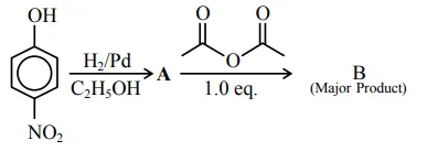
The correct structures of A and B formed in the following reactions are :

Question:

The correct structures of A and B formed in the following reactions are : 


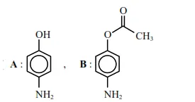
Correct Option: , 4

Solution:

Leave a comment