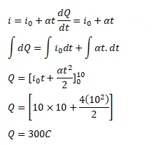
The current through a wire depends on time as

Question:

The current through a wire depends on time as $i=i_{0}+\alpha t$,

Solution:

Leave a comment