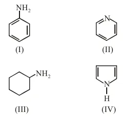
Question: The decreasing order of basicity of the following amines is:

(I) $>($ III $)>($ IV $)>($ II $)$
$(\mathrm{II})>(\mathrm{I})>(\mathrm{II})>(\mathrm{IV})$
$(\mathrm{III})>(\mathrm{II})>(\mathrm{I})>(\mathrm{IV})$
$(\mathrm{II})>(\mathrm{III})>(\mathrm{IV})>(\mathrm{I})$
Correct Option: , 3
Solution:
(III) $>(\mathrm{II})>(\mathrm{I})>(\mathrm{IV})$