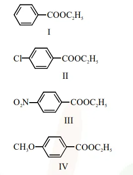
Question: The decreasing order of ease of alkaline hydrolysis for the following esters is :

$\mathrm{IV}>\mathrm{II}>\mathrm{III}>\mathrm{I}$
III $>\mathrm{II}>\mathrm{I}>\mathrm{IV}$
III > II > IV > I
II > III > I > IV
Correct Option: , 2
Solution:
More is the electrophilic character of carbonyl group of ester faster is the alkaline hydrolysis.