Question:
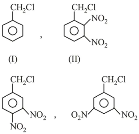
The decreasing order of reactivity of the following compounds towards nucleophilic substitution $\left(\mathrm{S}_{\mathrm{N}} 2\right)$ is :

Correct Option: , 2
Solution:
$\mathrm{S}_{\mathrm{N}} 2$ reactions depend upon $-\mathrm{I}$ and $-\mathrm{M}$ effect on substrate. On increasing - I and -M effect, rate of $\mathrm{S}_{\mathrm{N}} 2$ reaction will increase.