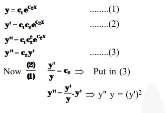
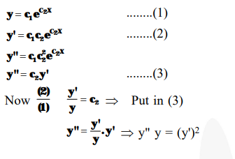
Question: The differential equation which represents the family of curves $y=c_{1} e^{c_{2} x}$, where $c_{1}$ and $c_{2}$ are arbitrary constants, is :-
$y^{\prime \prime}=y^{\prime}$
$y y^{\prime \prime}=\left(y^{\prime}\right)^{2}$
$y^{\prime}=y^{2}$
$y^{\prime \prime}=y^{\prime} y$
Correct Option: , 2
Solution:
