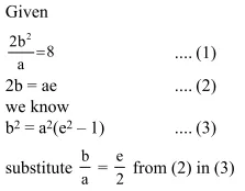
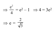
Question: The eccentricity of the hyperbola whose length of the latus rectum is equal to 8 and the length
of its conjugate axis is equal to half of the distance between its foci, is :
$\sqrt{3}$
$\frac{4}{3}$
$\frac{4}{\sqrt{3}}$
$\frac{2}{\sqrt{3}}$
Correct Option: , 4
Solution:

