The equation of the plane containing the line

Question:

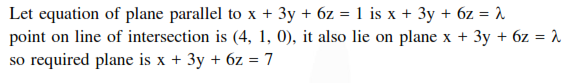
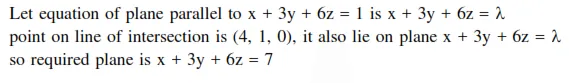
The equation of the plane containing the line $2 x-5 y+z=3 ; x+y+4 z=5$, and parallel to the plane, $x+3 y+6 z=1$, is :

  1. $x+3 y+6 z=7$

  2. $2 x+6 y+12 z=-13$

  3. $2 x+6 y+12 z=13$

  4. $x+3 y+6 z=-7$


Correct Option: 1

Solution:

Leave a comment