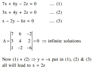
Question: The following system of linear equations
$7 x+6 y-2 z=0$
$3 x+4 y+2 z=0$
$x-2 y-6 z=0$, has
infinitely many solutions, $(x, y, z)$ satisfying $\mathrm{x}=2 \mathrm{z}$
no solution
only the trivial solution
infinitely many solutions, (x,y, z) satisfying $y=2 z$
Correct Option: 1
Solution:
