Question:
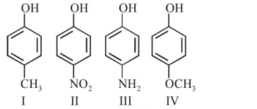
The increasing order of boiling points of the following compounds is :

Correct Option: 1,
Solution:

Increasing order of boiling point is :

$\Rightarrow$ Shows hydrogen bonding from $-\mathrm{O}-\mathrm{H}$ group only

$\Rightarrow$ Shows strongest hydrogen bonding from both sides of $-\mathrm{OH}$ group as well as $-\mathrm{NO}_{2}$ group.

$\Rightarrow$ Shows stronger hydrogen from both side of $-\mathrm{OH}$ group as well as $-\mathrm{NH}_{2}$ group.

$\Rightarrow$ Shows stronger hydrogen bonding from one side $-\mathrm{OH}-$ group and another side of $-\mathrm{OCH}_{3}$ group shows only dipole-dipole interaction.
$\Rightarrow$ Hence correct order of boiling point is:
(I) $<$ (IV) $<$ (III) $<$ (II)