The increasing order of pKb values of the following compounds is -

Question:

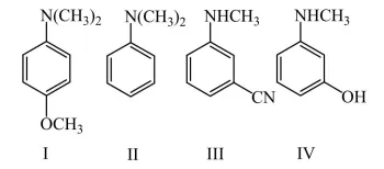
The increasing order of $\mathrm{pK}_{\mathrm{b}}$ values of the following compounds is -

  1. $I

  2. II $<\mathrm{IV}<\mathrm{III}<\mathrm{I}$

  3. II $

  4. $\mathrm{I}<\mathrm{II}<\mathrm{III}<\mathrm{IV}$


Correct Option: 1

Solution:

(1) $I

Leave a comment