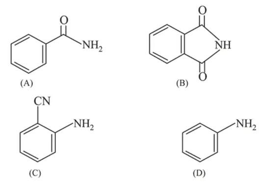
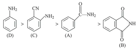
Question: The increasing order of reactivity of the following compound towards reaction with alkyl halides directly is:

$(\mathrm{B})<(\mathrm{A})<(\mathrm{C})<(\mathrm{D})$
$(\mathrm{A})<(\mathrm{B})<(\mathrm{C})<(\mathrm{D})$
$(B)<(A)<(D)<(C)$
$(\mathrm{A})<(\mathrm{C})<(\mathrm{D})<(\mathrm{B})$
Correct Option: 1
Solution:
