Question: The increasing order of the following compounds towards HCN addition is :

(iii) $<$ (iv) $<$ (ii) $<$ (i)
(iii) $<$ (iv) $<$ (i) $<$ (ii)
(iii) $<$ (i) $<$ (iv) $<$ (ii)
(i) $<$ (iii) $<$ (iv) $<$ (ii)
Correct Option: , 3
Solution:
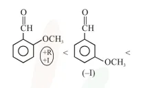
Increasing order of reactivity towards $\mathrm{HCN}$ addition


