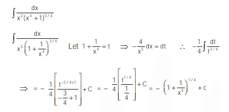
Question: The integral $\int \frac{\mathrm{dx}}{\mathrm{x}^{2}\left(\mathrm{x}^{4}+1\right)^{\frac{3}{4}}}$ equals :
$-\left(x^{4}+1\right)^{\frac{1}{4}}+c$
$-\left(\frac{x^{4}+1}{x^{4}}\right)^{\frac{1}{4}}+c$
$\left(\frac{x^{4}+1}{x^{4}}\right)^{\frac{1}{4}}+c$
$\left(x^{4}+1\right)^{\frac{1}{4}}+c$
Correct Option:
Solution:
