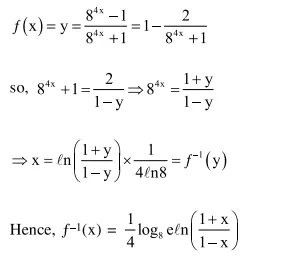
Question: The inverse function of
$f(\mathrm{x})=\frac{8^{2 \mathrm{x}}-8^{-2 \mathrm{x}}}{8^{2 \mathrm{x}}+8^{-2 \mathrm{x}}}, \mathrm{x} \in(-1,1)$, is
$\frac{1}{4}\left(\log _{8} \mathrm{e}\right) \log _{\mathrm{e}}\left(\frac{1-\mathrm{x}}{1+\mathrm{x}}\right)$
$\frac{1}{4} \log _{\mathrm{e}}\left(\frac{1-\mathrm{x}}{1+\mathrm{x}}\right)$
$\frac{1}{4}\left(\log _{8} e\right) \log _{e}\left(\frac{1+x}{1-x}\right)$
$\frac{1}{4} \log _{\mathrm{e}}\left(\frac{1+x}{1-x}\right)$
Correct Option: , 3
Solution:
