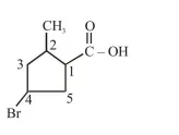
Question: The IUPAC name of the following compound is :

4-Bromo-2-methylcyclopentane carboxylic acid
5-Bromo-3-methylcyclopentanoic acid
3-Bromo-5-methylcyclopentane carboxylic acid
3-Bromo-5-methylcyclopentanoic acid
Correct Option: 1
Solution:

4-bromo-2-methyl cyclopentane carboxylic
Acid