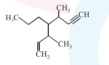
Question: The IUPAC name of the following compound is :

3,5 -dimethyl-4-propylhept-6-en-1-yne
3 -methyl-4-(3-methylprop-1 -enyl)-1 heptyne
3 -methyl-4-(1-methylprop-2-ynyl)-1 heptene
3,5 -dimethyl-4-propylhept-1 -en-6-yne
Correct Option: , 4
Solution:

3,5 -Dimethyl-4-propylhept-1-en-6-yne
Longest carbon chain, including multiple bonds, and numbering starts from double bond.