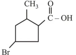
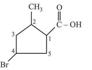
Question: The IUPAC name of the following compound is :

5-Bromo-3-methylcyclopentanoic acid
4-Bromo-2-methylcyclopentane carboxylic acid
3 -Bromo-5-methylcyclopentanoic acid
3-Bromo-5-methylcyclopentane carboxylic acid
Correct Option: , 2
Solution:

4-Bromo-2-methylcyclopentane carboxylic acid