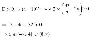
The least positive value of 'a' for which the equation

Question:

The least positive value of 'a' for which the equation $2 \mathrm{x}^{2}+(\mathrm{a}-10) \mathrm{x}+\frac{33}{2}=2 \mathrm{a}$ has real roots is

Solution:

Leave a comment