The logical statement

Question:

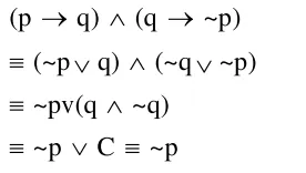
The logical statement $(\mathrm{p} \Rightarrow \mathrm{q})^{\wedge}(\mathrm{q} \Rightarrow \sim \mathrm{p})$ is equivalent to :

  1. $\mathrm{p}$

  2. $\mathrm{q}$

  3. $\sim \mathrm{p}$

  4. $\sim \mathrm{q}$


Correct Option: , 3

Solution:

Leave a comment