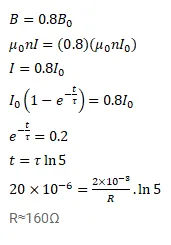
The magnetic field at a point inside a

Question:

The magnetic field at a point inside a $2.0 \mathrm{mH}$ inductor-coil becomes $0.80$ of its maximum value in $20 \mu$ when the inductor is joined to a battery. Find the resistance of the circuit.

Solution:

Leave a comment