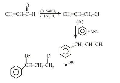
The major product [C] of the following reaction sequence will be :-

Question:

The major product $[\mathrm{C}]$ of the following reaction sequence will be :-


Correct Option: , 3

Solution:

Leave a comment