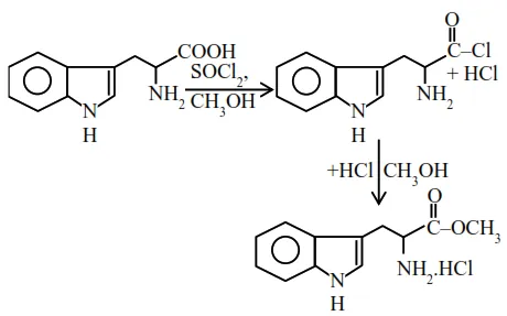
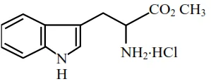
The major product formed in the following

Question:

The major product formed in the following reaction is :


Correct Option: , 3

Solution:

Leave a comment