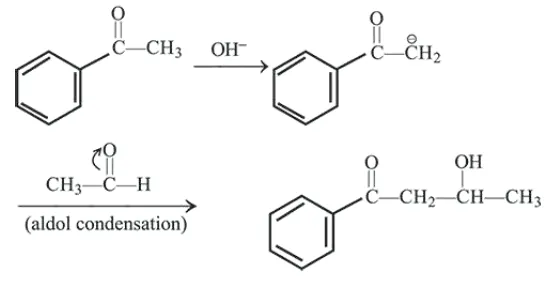
The major product formed in the following reaction is:

Question:

The major product formed in the following reaction is:


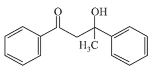
Correct Option:

Solution:

Reaction mechanism involved:

Leave a comment