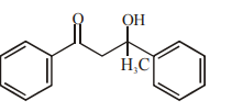
The major product formed in the following reaction is:

Question:

The major product formed in the following reaction is:


Correct Option: 1

Solution:

Aldehyde reacts at a faster rate than keton during aldol and stericall less hindered anion will be a better nucleophile so sefl aldol at

Leave a comment