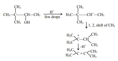
The major product formed in the following reaction is:

Question:

The major product formed in the following reaction is:


Correct Option: , 2

Solution:

Leave a comment