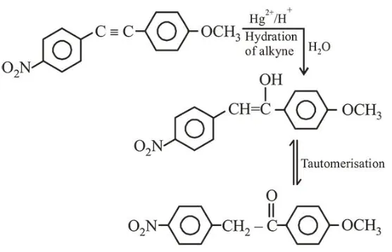
The major product obtained from the following reaction is:

Question:

The major product obtained from the following reaction is:


Correct Option: 1

Solution:

Leave a comment