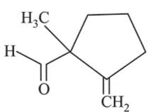
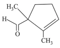
The major product obtained in the following reaction is :

Question:

The major product obtained in the following reaction is :


Correct Option: , 2

Solution:

Leave a comment