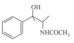
The major product obtained in the following reaction is:
Correct Option: , 4
Reaction involved:
Leave a comment
All Study Material