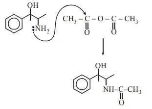
The major product obtained in the following reaction is:

Question:

The major product obtained in the following reaction is:


Correct Option: , 3

Solution:

 

Leave a comment