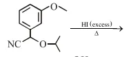
The major product of the following reaction is :

Question:

The major product of the following reaction is :


Correct Option: , 3

Solution:

Leave a comment