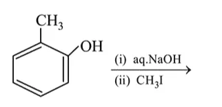
The major product of the following reaction is:

Question:

The major product of the following reaction is:


Correct Option:

Solution:

Reaction involved:

Leave a comment