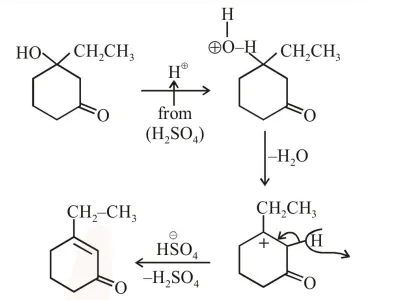
The major product of the following reaction is:

Question:

The major product of the following reaction is:

 


Correct Option: , 2

Solution:

Leave a comment