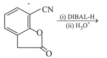
The major product of the following reaction is:

Question:

The major product of the following reaction is:


Correct Option: , 3

Solution:

DIBAL-H will reduce cyanides and esters to aldehydes.

Leave a comment