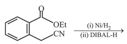
The major product of the following reaction is :
Correct Option: , 4
Leave a comment
All Study Material