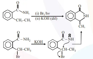
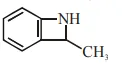
The major product of the following reaction is

Question:

The major product of the following reaction is


Correct Option: , 3

Solution:

Leave a comment