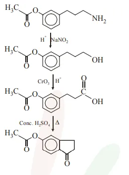
The major product of the following reaction is:

Question:

The major product of the following reaction is:


Correct Option: , 4

Solution:

 

Leave a comment