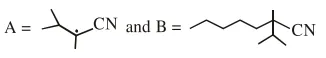
The major products A and B in the following reactions are :

Question:

The major products A and B in the following reactions are :


Correct Option: 1

Solution:

Leave a comment