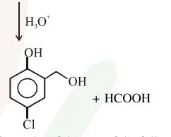
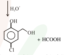
The major products of the following reaction are :

Question:

The major products of the following reaction are :


Correct Option: , 3

Solution:

Leave a comment