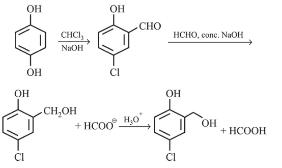
The major products of the following reaction are :

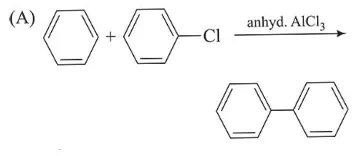
Question:

The major products of the following reaction are :


Correct Option: , 4

Solution:

Leave a comment