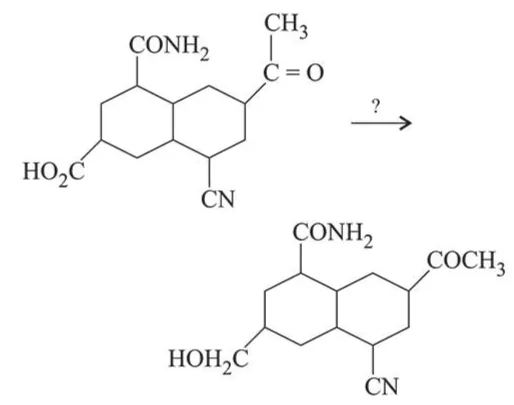
Question: The most suitable reagent for the given conversion is:

$\mathrm{B}_{2} \mathrm{H}_{6}$
$\mathrm{NaBH}_{4}$
$\mathrm{LiAlH}_{4}$
$\mathrm{H}_{2} / \mathrm{Pd}$
Correct Option: 1
Solution:
$\mathrm{B}_{2} \mathrm{H}_{6}$ is a very selective reducing agent and usually used to reduce acid to alcohol.