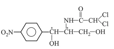
The number of chiral carbons in chloramphenicol is

Question:

The number of chiral carbons in chloramphenicol is _________.

Solution:

(2.00)

Leave a comment