The number of chiral centres

Question:

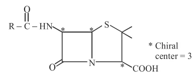
The number of chiral centres in penicillin is________.

Solution:

The structure of penicillin is

Leave a comment