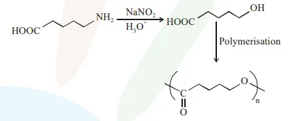
The polymer obtained from the following reactions is:

Question:

The polymer obtained from the following reactions is:


Correct Option: , 2

Solution:

Leave a comment