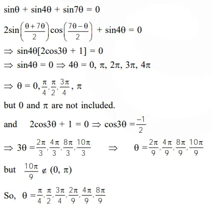
Question: The possible values of $\theta \in(0, \pi)$ such that $\sin (\theta)+\sin (4 \theta)+\sin (7 \theta)=0$ are:
$\frac{2 \pi}{9}, \frac{\pi}{4}, \frac{4 \pi}{9}, \frac{\pi}{2}, \frac{3 \pi}{4}, \frac{8 \pi}{9}$
$\frac{\pi}{4}, \frac{5 \pi}{12}, \frac{\pi}{2}, \frac{2 \pi}{3}, \frac{3 \pi}{4}, \frac{8 \pi}{9}$
$\frac{2 \pi}{9}, \frac{\pi}{4}, \frac{\pi}{2}, \frac{2 \pi}{3}, \frac{3 \pi}{4}, \frac{35 \pi}{36}$
$\frac{2 \pi}{9}, \frac{\pi}{4}, \frac{\pi}{2}, \frac{2 \pi}{3}, \frac{3 \pi}{4}, \frac{8 \pi}{9}$
Correct Option: 1
Solution:
