The product

Question:

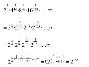
The product $2^{\frac{1}{4}} \cdot 4^{\frac{1}{16}} \cdot 8^{\frac{1}{48}} \cdot 16^{\frac{1}{128}}$

to $\infty$ is equal to :

  1. $2^{\frac{1}{2}}$

  2. $2^{\frac{1}{4}}$

  3. 2

  4. 1


Correct Option: 1

Solution:

Leave a comment