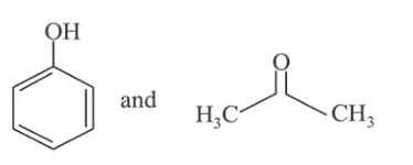
The products formed in the reaction of cumene with

Question:

The products formed in the reaction of cumene with $\mathrm{O}_{2}$ followed by treatment with dil. HCI are:


Correct Option: , 3

Solution:

Reaction involved:

Leave a comment