Question:
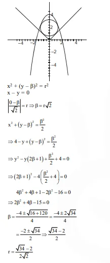
The radius of a circle, having minimum area, which touches the curve $y=4-x^{2}$ and the lines, $y=|x|$ is :-
Correct Option:
Solution:

which is not in options therefore it must be bonus. But according to history of JEE-Mains it seems they had following line of thinking.
Given curves are $y=4-x^{2}$ and $y=|x|$
