The rate of working of an engine is given by.
Question:
The rate of working of an engine is given by.
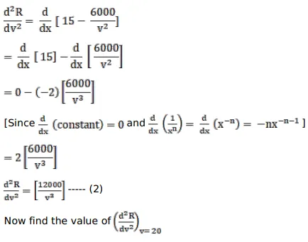
$R=15 v+\frac{6000}{v}$, where $0 and $v$ is the speed of the engine. Show that $R$ is the least when $v=20$.
Solution:



